Теория / 1.6. Режимы работы электрических цепей
Режим работы любой электрической цепи задается сопротивлениями нагрузки и определяет значения токов, напряжений и мощностей отдельных элементов.
Через все элементы цепи протекает один и тот же ток I. Напряжение на зажимах источника ЭДС отличается от электродвижущей силы на величину падения напряжения на внутреннем сопротивлении
Но, с другой стороны, это напряжение, приложенное к нагрузке,
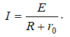
По закону Ома для полной цепи определим ток
Рассмотрим крайние случаи значений сопротивления нагрузки.
1. Сопротивление нагрузки бесконечно велико R= ∞. Такой режим называют режимом холостого хода. Практически не существует резистора с бесконечно большим сопротивлением, поэтому добиться такого режима можно, разомкнув цепь нагрузки (рис. 1.25).
При холостом ходе ток через нагрузку не идет, то есть I0 = 0 (здесь индексом «0» обозначены параметры, относящиеся к режиму холостого хода), тогда из выражения (1.1) следует, что напряжение на зажимах источника при холостом ходе равно электродвижущей силе: U0 = E.
Таким образом, при разомкнутой цепи вольтметр, подключенный к зажимам источника, покажет значение ЭДС.
2. Сопротивление нагрузки рано нулю R=0. Такой режим называют режимом короткого замыкания. Добиться этого режима можно, замкнув перемычкой зажимы источника (рис. 1.26).
В этом режиме напряжение на нагрузке равно нулю: Uk = IR = 0.
В этом случае ток короткого замыкания определится по формуле
Так как внутреннее сопротивление источника мало, то ток короткого замыкания будет большим.
Режимы холостого хода и короткого замыкания при работе электрических цепей являются аварийными режимами и могут привести к выходу из строя оборудования. От них следует отличать опыты холостого хода и короткого замыкания, при которых эти режимы создаются искусственно при таких напряжениях и токах, которые не превышают допустимые значения. Эти опыты позволяют определять различные параметры электрических цепей.
Рассмотрим для примера порядок определения внутреннего сопротивления источника ЭДС.
1. Выполняем опыт короткого замыкания, задавая такое напряжение, чтобы ток не превышал номинального значения, измеряем ток короткого замыкания Ik.
2. Размыкаем цепь нагрузки и, измеряя напряжение на зажимах источника при холостом ходе, определяем ЭДС: E = U0
3. Рассчитываем внутреннее сопротивление источника по формуле:








